北京大学学报(医学版) ›› 2025, Vol. 57 ›› Issue (3): 514-521. doi: 10.19723/j.issn.1671-167X.2025.03.015

• 论著 • 上一篇    下一篇

突发公共卫生事件健康相关信息质量监管的三方博弈及仿真分析

王宇1, 袁睿1, 李书鹏1, 常春1,2,*()   

  1. 1. 北京大学公共卫生学院社会医学与健康教育系, 北京 100191
    2. 北京大学医学部老年健康研究中心, 北京 100191
  • 收稿日期:2025-02-09 出版日期:2025-06-18 发布日期:2025-06-13
  • 通讯作者: 常春
  • 基金资助:
    首都卫生发展科研专项(2024-1G-2013)

Three-party game and simulation analysis of health-related information quality regulation in public health emergencies

Yu WANG1, Rui YUAN1, Shupeng LI1, Chun CHANG1,2,*()   

  1. 1. Department of Social Medicine and Health Education, School of Public Health, Peking University, Beijing 100191, China
    2. Center for Healthy Aging, Peking University, Health Science Center, Beijing 100191, China
  • Received:2025-02-09 Online:2025-06-18 Published:2025-06-13
  • Contact: Chun CHANG
  • Supported by:
    Capital's Funds for Health Improvement and Research(2024-1G-2013)

RICH HTML

  

摘要:

目的: 构建突发公共卫生事件中政府、公众与医药产业联盟的三方博弈模型, 揭示健康信息质量监管的动态机制, 探索通过奖惩策略优化信息传播环境的有效路径。方法: 基于演化博弈理论, 构建三方演化博弈模型, 整合各主体的策略空间、支付函数及参数定义, 其中, 医药产业联盟策略包括发布高质量或低质量信息(α), 公众策略涵盖理性分析或被动响应(β), 政府策略涉及监管执行或不作为(γ)。量化关键参数(如经济收益Iyy、监管成本Czf、惩罚Fyy和激励Pyy)以反映现实情境。通过推导复制动态方程和Jacobian矩阵分析均衡点稳定性, 并利用MATLAB 2016a进行仿真验证, 模拟不同初始条件(如Iyy=100, 150, 200; Pyy=0, 20, 35; Fyy=0, 10, 20)下的演化过程。开展敏感性分析, 考察关键参数对系统演化的影响, 通过50次迭代模拟以观察收敛规律。结果: 研究发现: (1)公众理性辨别能力(β)显著影响医药产业联盟的策略选择, 仿真表明, 当信息获取收益(Iqz)提高时, 公众认知成本(Cqz)降低, β从0.4增至0.8, 推动高质量信息概率(α)稳定至1;(2)政府监管强度(γ)与低质量信息的社会危害呈正相关, 当满足Fyy+ Pyy>Iyy时, 投机行为减少, 系统收敛至均衡(α=1);(3)系统存在双稳定均衡: 高质量均衡(α=1, β=1, γ=0)下监管成本降低, 低质量均衡(α=0, β=0, γ=1)则伴随社会风险提升, 相图揭示了路径依赖性, 若初始α < 0.5, 系统将趋向低质量均衡, 除非实施动态惩罚(Fyy>20)和激励(Pyy>30)。结论: 研究提出“激励-约束”协同治理框架, 建议通过分类监管、人工智能技术赋能及动态惩戒制度优化监管效能。未来需引入情绪效用函数, 探讨非理性决策对系统演化的影响, 以完善健康信息传播监管体系。

关键词: 健康相关信息, 质量监管, 三方演化博弈

Abstract:

Objective: To construct a tripartite game model involving the government, the public, and the pharmaceutical industry alliance during public health emergencies, revealing the dynamic mechanisms of health-related information quality regulation and exploring effective strategies to optimize the information dissemination environment through reward-punishment mechanisms. Methods: Based on evolutionary game theory, a tripartite evolutionary game model was established, integrating strategy spaces, payoff functions, and parameter definitions for each stakeholder. The pharmaceutical industry alliance ' s strategies included publishing high- or low-quality information (α), the public ' s strategies encompassed rational analysis or passive response (β), and the government's strategies involved regulatory enforcement or inaction (γ). Key parameters, such as economic benefits (Iyy), regulatory costs (Czf), penalties (Fyy), and incentives (Pyy), were quantified to reflect real-world scenarios. Replicator dynamic equations and Jacobian matrices were derived to analyze the stability of equilibrium points, while MATLAB 2016a simulations were conducted to validate the model under varying initial conditions (e.g., Iyy=100, 150, 200; Pyy=0, 20, 35; Fyy=0, 10, 20). Sensitivity analyses examined the impact of critical parameters on system evolution, by 50 iterative simulations to observe convergence patterns. Results: The study revealed three key findings: (1) Public rational discernment (β) significantly influenced the pharmaceutical industry ' s strategy. Simulations demonstrated that increasing Iqz(benefits of information acquisition) reduced Cqz (cognitive costs), elevating β from 0.4 to 0.8 and driving α (high-quality information probability) to stabilize at 1. (2) Government regulatory intensity (γ) correlated positively with the social hazards of low-quality information. When Fyy+ Pyy>Iyy, speculative behaviors decreased, achieving equilibrium at α=1. (3) Dual stable equilibria emerged: a high-quality equilibrium (α=1, β=1, γ=0) with lower regulatory costs and a low-quality equilibrium (α=0, β=0, γ=1) associated with higher social risks. Phase diagrams illustrated path dependency, where initial α < 0.5 led to the low-quality equilibrium unless dynamic penalties (Fyy>20) and incentives (Pyy>30) were enforced. Conclusion: A "carrot-stick" collaborative governance framework is proposed, emphasizing categorized regulation, AI-enabled auditing, and dynamic penalty systems. Future research should integrate emotional utility functions to address irrational decision-making impacts, thereby enhancing the adaptability of health information regulatory systems.

Key words: Health-related information, Quality supervision, Three-party evolution game

中图分类号: 

  • R197.1

图1

三方主体博弈模型逻辑关系图"

表1

医药产业联盟、公众、政府监管部门三方主题策略空间"

Game subjects Tactical symbol Strategy description Probability
Pharmaceutical industry alliance A1/A2 Publish high quality/low quality information α/(1-α)
The public B1/B2 Analyze rationally/respond passively β/(1-β)
Government regulators C1/C2 Enforce regulation/no regulation γ/(1-γ)

表2

核心参数定义"

Parameter symbol Full name of parameter Economic implications Theoretical foundation
α Selection probability of high quality information Degree to which industry alliances assess reputational value Kreps reputation game model
β Rational analysis selection probability Crowd perception of willingness to invest resources Dual systems cognitive theory
γ Probability of regulatory implementation Government risk prevention and control efforts Polycentric governance theory
Iyy Benefits of industry information release Direct economic benefits from information dissemination Fombrun’s reputational competition model
Cyy High-bquality information argumentation cost Input costs of professional verification, data collection, etc. Kreps signaling costs
Cyy1 Argumentation cost of low quality information Cost of false information cover-up (Cyy1 < Cyy) Adverse selection theory
Iqz Benefits of information acquisition by the public Value of health improvement due to correct information Health behavior theory
Nqz Negative utility for the public Economic loss of health due to misinformation Risk perception model
Cqz Cost of information identification Cognitive resource consumption such as time and energy Cognitive load theory
Izf Gains in government governance Political gains from public health order maintenance Public choice theory
Nzf Government credibility loss Cost of crisis of confidence due to regulatory failure Institutional legitimacy theory
Czf Regulatory enforcement costs Regulatory resource inputs such as manpower and technology Regulatory cost curve theory
Czf1 Expost intervention costs Additional administrative costs of crisis response Contingency management theory
Fyy Penalties for industry violations Financial penalties for low-quality information Becker deterrence theory
Ryy Industry reputation loss Long-term revenue loss due to scandal exposure Reputational capital theory
Pyy Industry compliance incentives Policy incentives for the release of high-quality information Positive reinforcement theory

表3

医药产业联盟、公众、政府监管部门的博弈矩阵"

Public Government regulator
Regulated (γ) Unregulated (1-γ)
Pharmaceutical industry alliance High-quality information (α) Rational analysis (β) Iyy-Cyy+PyyIqz-CqzIzf-Czf-Pyy Iyy-CyyIqz-CqzIzf-Czf1
Passive response (1-β) Iyy-Cyy+Pyy,0,Izf-Czf-Pyy Iyy-Cyy,0,Izf-Czf1
Low-quality information (1-α) Rational analysis (β) -Cyy1-Fyy-Ryy,-Nqz-Cqz,-Nzf-Czf -Cyy1,-Nqz-Cqz,-Nzf-Czf1-Fzf
Passive response (1-β) -Cyy1-Fyy-Ryy,-Nqz,-Nzf-Czf-Fzf -Cyy1,-Nqz,-Nzf-Czf1-Fzf

表4

三方演化博弈均衡点特征值表"

Balance point Jacobian matrix eigenvalues
λ1λ2λ3
E1 (0,0,0) -Cyy+Cyy1+Iyy,-Cqz,-Czf+Czf1
E2 (1,0,0) Cyy-Cyy1-Iyy,-Cqz+Iqz-Czf+Czf1-Pyy
E3 (0,1,0) -Cyy+Cyy1+IyyCqz,-Czf+Czf1+Fzf
E4 (0,0,1) -Cyy+Cyy1+Fyy+Iyy+Pyy+Ryy,-CqzCzf-Czf1
E5 (1,1,0) Cyy-Cyy1-IyyCqz-Iqz,-Czf+Czf1-Pyy
E6 (1,0,1) Cyy-Cyy1-Fyy-Iyy-Pyy-Ryy,-Cqz+IqzCzf-Czf1+Pyy
E7 (0,1,1) -Cyy+Cyy1+Fyy+Iyy+Pyy+RyyCqzCzf-Czf1-Fzf
E8 (1,1,1) Cyy-Cyy1-Fyy-Iyy-Pyy-RyyCqz-IqzCzf-Czf1+Pyy

表5

核心参数赋值依据"

Parameter symbol Assign a value Theoretical foundation
Iyy=150 Reference value Extrapolated with reference to the average marketing ROI of the pharmaceutical industry in 2021
Cyy-Cyy1 85/105 Third-party certification (Cyy) required for high-quality information, format review only for low-quality information(Cyy1=Cyy×0.3)
Fyy=20/25 Degree of punishment Standardized to the minimum fine under article 118 of the drug administration Act
Pyy=35 Reward value Average value of government funding for science and technology projects
Nqz=30 Loss value Equivalent QALY loss (0.05 quality-adjusted life year per misinformation)

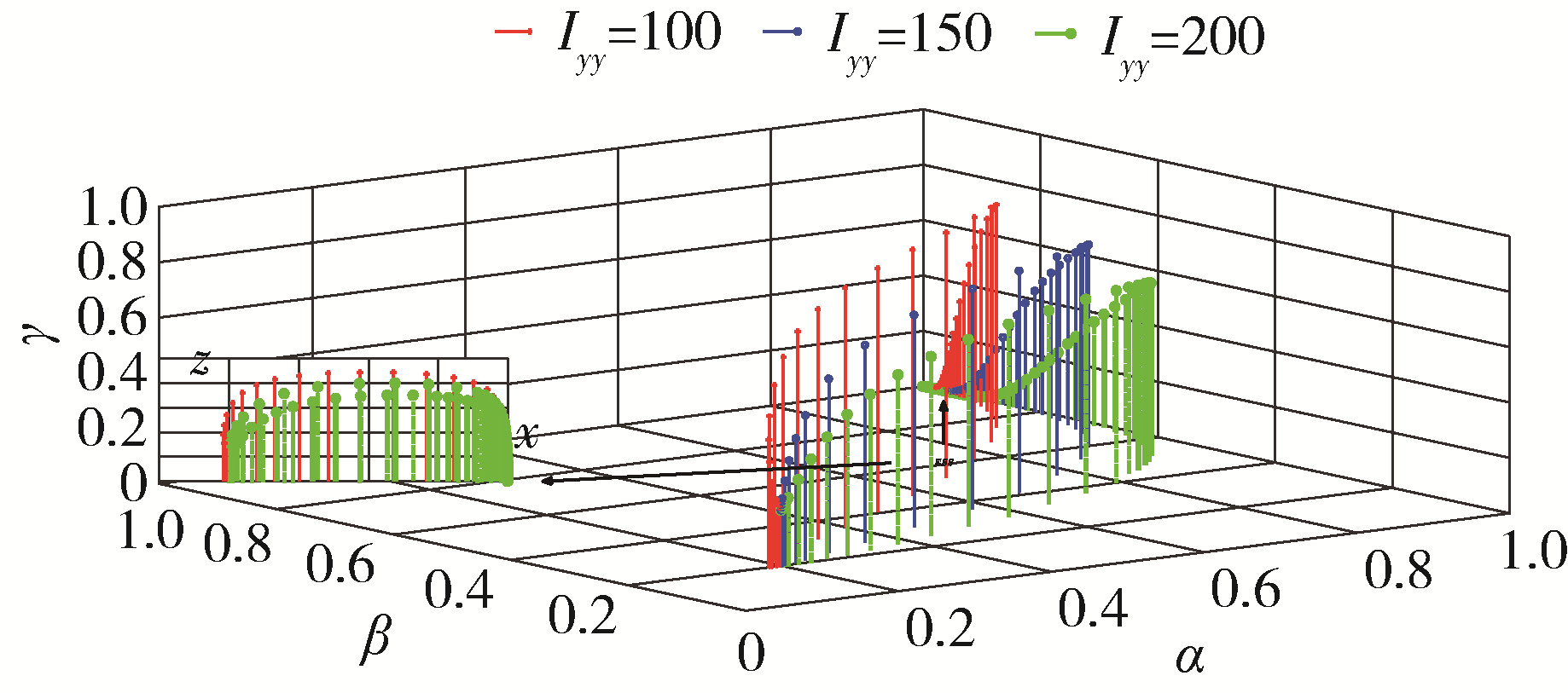
图2

医药产业收益的影响"

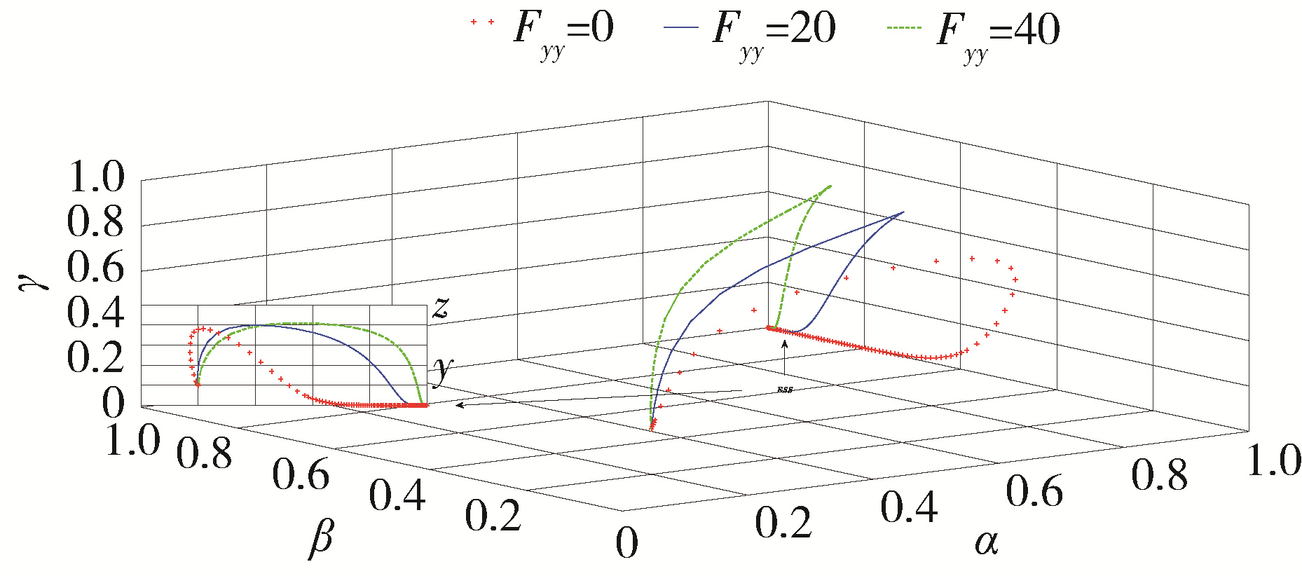
图3

政府对医药产业奖励的影响"

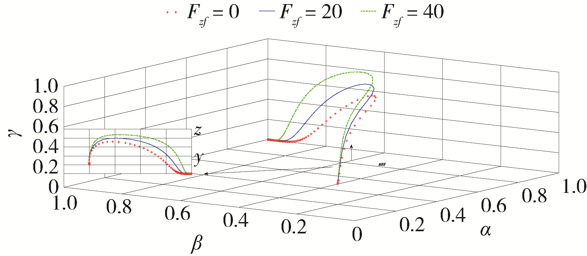
图4

政府对医药产业处罚的影响"

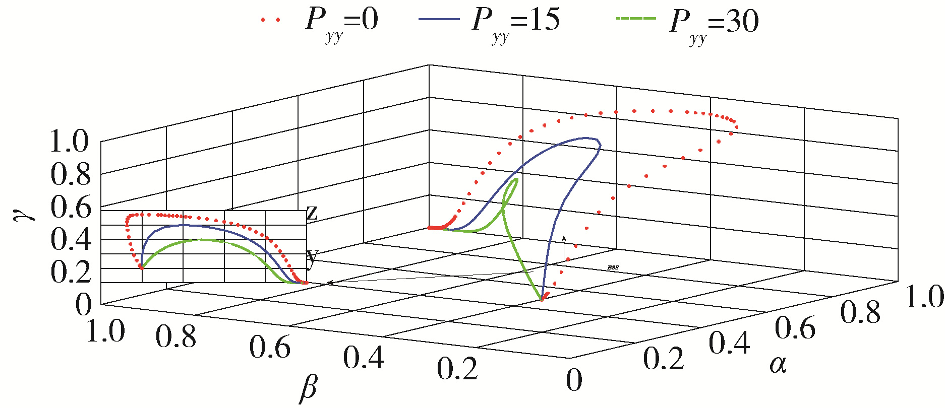
图5

政府不作为状况行政处罚的影响"

图6

第一组仿真数据演化50次结果"

图7

第二组仿真数据演化50次结果"

1
Fisher C , Flew T , Park S , et al. Improving trust in news: Audience solutions[J]. J Pract, 2021, 15 (10): 1497- 1515.
2
Lazer DMJ , Baum MA , Benkler Y , et al. The science of fake news[J]. Science, 2018, 359 (6380): 1094- 1096.

doi: 10.1126/science.aao2998
3
Govindankutty S , Padinjappurathu GS . Modeling rumor spread and influencer impact on social networks[J]. IEEE Access, 2023, 11, 121617- 121628.

doi: 10.1109/ACCESS.2023.3327863
4
Rocha YM , de Moura GA , Desidério GA , et al. The impact of fake news on social media and its influence on health during the COVID-19 pandemic: A systematic review[J]. J Public Health (Berl), 2023, 31 (7): 1007- 1016.

doi: 10.1007/s10389-021-01658-z
5
Nagendran M , Chen Y , Lovejoy CA , et al. Artificial intelligence versus clinicians: Systematic review of design, reporting standards, and claims of deep learning studies[J]. BMJ, 2020, 368, m689.
6
王治莹, 聂慧芳, 杨学亮. 考虑公众感知价值的突发性抢购事件演化博弈分析[J]. 中国管理科学, 2020, 28 (3): 71- 79.
7
杨阳, 王杰. 情绪因素影响下的突发事件网络舆情演化研究[J]. 情报科学, 2020, 38 (3): 35-41, 69.
8
祁凯, 杨志. 突发危机事件网络舆情治理的多情景演化博弈分析[J]. 中国管理科学, 2020, 28 (3): 59- 70.
9
Zhang Z , Wu JL , Qu CQ , et al. The generation and regulation of public opinion on multiplex social networks[J]. IEEE T Comput Soc Sy, 2024, 11 (5): 6513- 6527.

doi: 10.1109/TCSS.2024.3396229
10
Feng K , Han S , Feng M , et al. An evolutionary game with reputation-based imitation-mutation dynamics[J]. Appl Math Comput, 2024, 472, 128618.
11
Kannengiesser U , Gero JS . Design thinking, fast and slow: A framework for Kahneman' s dual-system theory in design[J]. Des Sci, 2019, 5, e10.

doi: 10.1017/dsj.2019.9
12
Stehle F . Governing climate change: Polycentricity in action[J]. Glob Environ Polit, 2021, 21 (1): 157- 159.

doi: 10.1162/glep_r_00596
13
Oussi A , Hamid K , Bouvet C . Managing emotions in panic disorder: A systematic review of studies related to emotional intelligence, alexithymia, emotion regulation, and coping[J]. J Behav Ther Exp Psy, 2023, 79, 101835.

doi: 10.1016/j.jbtep.2023.101835
14
Bergman K , Eli K , Osowski CP , et al. Public expressions of trust and distrust in governmental dietary advice in sweden[J]. Qual Health Res, 2019, 29 (8): 1161- 1173.

doi: 10.1177/1049732318825153
15
Chen L , Chen M . Danger control and fear control during public health emergencies: Considering the roles of fear and hope in the EPPM across different levels of trust[J]. Risk Anal, 2023, 43 (5): 928- 942.

doi: 10.1111/risa.13985
16
Lu Y , Ji Z , Zhang X , et al. Re-thinking the role of government information intervention in the COVID-19 pandemic: An agent-based modeling analysis[J]. Int J Environ Res Public Health, 2020, 18 (1): 147.

doi: 10.3390/ijerph18010147
17
Wang H , Xiong L , Guo J , et al. Predicting the antecedents of discontinuous usage intention of mobile government social media during public health emergencies[J]. Int J Disaster Risk Reduct, 2023, 87, 103582.

doi: 10.1016/j.ijdrr.2023.103582
18
Trauth-Goik A , Liu C . Black or fifty shades of grey? The power and limits of the social credit blacklist system in China[J]. J Contemp China, 2023, 32 (144): 1017- 1033.

doi: 10.1080/10670564.2022.2128638
19
Zhao X , Wang S , Gao J , et al. A game model and numerical simulation of risk communication in metro emergencies under the influence of emotions[J]. Int J Disaster Risk Reduct, 2023, 97, 104046.

doi: 10.1016/j.ijdrr.2023.104046
[1] 黄宁, 刘笑晗, 郭静. 医疗保险对流动慢性病患者卫生服务利用的影响以及健康风险感知在其中的调节作用[J]. 北京大学学报(医学版), 2026, 58(1): 160-168.
[2] 魏粤晖, 简伟研. 中国老年人社会经济地位与视力障碍的相关性[J]. 北京大学学报(医学版), 2025, 57(6): 1136-1144.
[3] 章湖洋, 景日泽, 王金喜, 方海. 心力衰竭患者门诊服务利用对住院率的影响及其阈值效应——以浙江省城镇职工患者为例[J]. 北京大学学报(医学版), 2025, 57(4): 753-758.
[4] 李彪, 鲍羊措吉, 冯星淋. 中国医疗联合体建设的政策目标与政策工具——基于政策文本的量化研究[J]. 北京大学学报(医学版), 2025, 57(3): 417-422.
[5] 王清波,傅虹桥. 中国卫生筹资转型的主要特征与历史沿革[J]. 北京大学学报(医学版), 2024, 56(3): 462-470.
[6] 王哲斌,郑志杰. 中国中老年人失能状况公平性与影响因素[J]. 北京大学学报(医学版), 2020, 52(3): 500-505.
[7] 简伟研, 方海. 门诊服务对住院服务替代效应的实证分析[J]. 北京大学学报(医学版), 2015, 47(3): 459-463.
[8] 赵欣, 明迪尧, 马文军. 中国中老年农民工门诊服务利用及费用影响因素[J]. 北京大学学报(医学版), 2015, 47(3): 464-468.
Viewed
Full text


Abstract

Cited

  Shared   
  Discussed   
No Suggested Reading articles found!